Пигмент црвени 176-Цоримак црвени ХФ3Ц
Листа параметара производа
| Индекс боја бр. | Пигмент црвени 176 |
| Назив производа | Corimax Red HF3C |
| Производ Категорија | Органски Пигмент |
| ЦАС број | 12225-06-8 |
| ЕУ број | 235-425-2 |
| Породица хемикалија | Бензимидазолон |
| Молекуларна тежина | 572.57 |
| Молекуларна формула | C32H24N6O5 |
| ПХ вредност | 7 |
| Густина | 1.6 |
| Апсорпција уља (мл / 100 г)% | 40-60 |
| Лагана брзина (премаз) | 6 |
| Отпорност на топлоту (премаз) | 180 |
| Брзина светлости (пластична) | 6-7 |
| Отпорност на топлину (пластика) | 250 |
| Отпорност на воду | 5 |
| Отпорност на уље | 5 |
| Отпорност на киселину | 5 |
| Отпорност на алкалије | 4-5 |
Боја | ![]() |
| Распрострањеност нијанси |
Карактеристике:
Pigment Red 176 is a brilliant bluish shade high performance pigment, with excellent fastness, high heat resistance, transparent and migration resistance.
TDS(Pigment Red 176) MSDS(Pigment Red 176)Апликација:
Препоручује се за индустријске боје, прашкасте премазе, пасте за штампање, ПВЦ, гуму, ПС, ПП, ПЕ, ПУ, мастила на воденој бази, мастила на отапалу, УВ мастила.
Suggested for automotive paints, architectural coatings, coil coatings, offset inks.
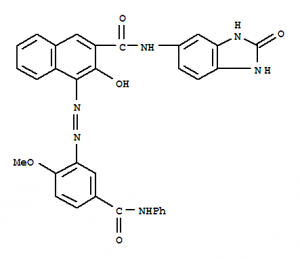
Молекуларна структура:

Физичка и хемијска својства: blue and red. Lightfastness is level 6. Thermal stability is above 300 ℃. Organic solvent resistance reaches 4 to 5 grades, without migration.
Product use: Mainly used for coloring plastics.
Pigment Red 176 Specification:
The 2-Naphthalenecarboxamide,N-(2,3-dihydro-2-oxo-1H-benzimidazol-5-yl)-3-hydroxy-4-[2-[2-methoxy-5-[(phenylamino)carbonyl]phenyl]diazenyl]- is an organic compound with the formula C32H24N6O5. The systematic name of this chemical is 3-hydroxy-4-[2-methoxy-5-(phenylcarbamoyl)phenyl]azo-N-(2-oxo-1,3-dihydrobenzimidazol-5-yl)naphthalene-2-carboxamide. With the CAS registry number 12225-06-8, it is also named as N-(2,3-dihydro-2-oxo-1H-benzimidazol-5-yl)-3-hydroxy-4-[[2-methoxy-5-[(phenylamino)carbonyl]phenyl]azo]naphthalene-2-carboxamide. The product's category is Organics.
Physical properties about 2-Naphthalenecarboxamide,N-(2,3-dihydro-2-oxo-1H-benzimidazol-5-yl)-3-hydroxy-4-[2-[2-methoxy-5-[(phenylamino)carbonyl]phenyl]diazenyl]- are: (1)ACD/LogP: 6.96; (2)# of Rule of 5 Violations: 4; (3)ACD/LogD (pH 5.5): 6.95; (4)ACD/LogD (pH 7.4): 6.95; (5)#H bond acceptors: 11; (6)#H bond donors: 5; (7)#Freely Rotating Bonds: 8; (8)Polar Surface Area: 153.51 Å2; (9)Index of Refraction: 1.721; (10)Molar Refractivity: 157.67 cm3; (11)Molar Volume: 398.6 cm3; (12)Polarizability: 62.5×10-24cm3; (13)Surface Tension: 61 dyne/cm; (14)Density: 1.43 g/cm3; (15)Flash Point: 357.3 °C; (16)Enthalpy of Vaporization: 101.63 kJ/mol; (17)Boiling Point: 667.2 °C at 760 mmHg; (18)Vapour Pressure: 2.05E-18 mmHg at 25°C.










